직업군인 월급 2023


2023년에는 군인 급여가 다시 인상됩니다. 그럼에도 불구하고 직업군인이 되고자 하는 사람은 줄어들고 있다.

개인적으로 군대 다녀오신 분들은 급여 인상 외에 다른 처우도 개선돼야 한다.

지금부터 군인 연봉 인상률과 직업군인 연봉 인상률에 대해 알아보는 시간을 갖도록 하겠습니다.

솔저 솔저 키우기!

분할
2022년
2023년
사적인
510,100원
60만원
사병
552,100원
680,000원
상등병
610,200원
800,000원
중사
676,100원
1,000,000원

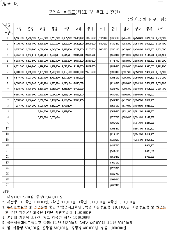
군인 군인의 급여 인상률은 전년도에 비해 크게 증가했습니다.

반응형


2022년 대비 사병 사례가 17.6% 증가해 처우가 소폭 개선됐다. 부사관의 경우 전년 대비 40% 정도 인상된다.

문재인 전 대통령을 시작으로 윤석열 대통령을 시작으로 장병 급여 인상과 군 처우 개선을 위한 개인적인 공약을 치하합니다.

윤석열 총장의 공약 중 하나인 2025년 군인 월급을 200만원으로 정했다. 2023년 최저시급 인상률이 5%, 2023년 공무원 급여 인상률이 1.7%인 점을 감안하면 군인 남녀 임금 인상률은 경이롭다.

.

군 계급의 상사 사회보장 기여금 포함 2023년 군인 월급으로 1,323,900원을 받을 수 있다고 합니다. 2023년에 석방되더라도 약 1197만 원 모을 수 있는 수준그것은이라고.

군인들의 월급 인상률은 어쩌면 당연하지만 이미 늦었다.

군 직업의 급여 인상률


2023년에는 군인 월급이 인상됩니다. 앞으로 점차 늘어날 것으로 기대됩니다. 2023년 직업 군인의 급여는 얼마나 높습니까?


2022년 대비 모든 부사관 및 간부 월급 인상률 1.7% 적용 각종 수당은 포함되지 않으며 별도로 결정됩니다.

거의 같은 줄에서 소위 1봉 또는 상사 1봉(약 170만원)이 시작된다.

일반적으로 10년 정도 일하면 대위 계급이 생기고, 대위라면 약 370만 원, 10급 병장은 약 310만 원을 받기 때문에 거기에 큰 차이점.

2023 직업 군인 연금 혜택

클래스
주장하다
평균 근속 기간
지도자
552만원
33년
중장
528만원
32.9년
콜론
484만원
32.1년
준장
449만원
30.9년
대령
406만원
30.2년
준위
356만원
31.8년
327만원
32.3년
우수한
222만원
25.3년

2023년 군인연금 인상률은 5%다.

그 이유는 소비자 물가 상승 때문이다.보지마. 공적연금법은 국민연금이나 공무원연금과 마찬가지로 “전년도 전국소비자물가변동률을 반영하여 가감한 금액을 매년 가감하여 고시한다”고 규정하고 있다.

관련근거

  • 。 군인연금법 제14조(연금액 조정)
  • 。통계국 보도자료(12/22/31) 2022년 12월 및 연간 소비자 물가 추이

그렇다면 병역 혜택은 어떻게 변할까요? 5% 올리면 예상대로 100만원 기준 105만원이 나온다. 수학은 간단합니다. 현재 받고 있는 군인연금 금액에 5%를 가산할 수 있습니다.